柠檬试题库
search
首页
计算机
公务员
驾照
关于
share
这534家公司中,平均每家中小企业板公司在2011年第一季度的净利润约是创业板公司的:
A.2倍
B.3倍
C.4倍
D.5倍
热度🔥3
参考答案:A
解析:
【试题来源】
2013年国家《行测》真题
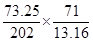
【解析】根据材料“已公布一季报的创业板公司有71家,实现净利润13.16亿元,已公布一季报的中小企业板公司有202家,实现净利润73.25亿元,”可得平均每家中小企业板公司在2011年第一季度的净利润与创业板公司的比值为
=
≈
≈
≈2。因此,本题答案为A选项。
复制题目向AI提问
=
≈
≈
≈2。因此,本题答案为A选项。">
content_copy
content_copy
扫码免费计算机二级刷题
2025年计算机等级考试题库
推荐
在下列模式中,能够给出数据库物理存储结构与物理存取方法的是( )。
有以下程序 #include int fun( int n ) { int a; if( n==1 ) return 1; a = n + fun( n-1 ); return ( a ); } main() { printf( "%d\n", fun( 5 ) ); } 程序的输出结果是
以下关于文件的叙述中,错误的是( )。
某带链栈的初始状态为 top=bottom=NULL,经过一系列正常的入栈与退栈操作后,top=10,bottom=20。该栈中的元素个数为( )。
循环队列的存储空间为Q(0:59),初始状态为空。经过一系列正常的入队与退队操作后,front=25,rear=24。循环队列中的元素个数为( )。