柠檬试题库
search
首页
计算机
公务员
驾照
关于
share
该省有线电视用户平均每月的有线网络费用约为多少元?
A.20
B.36
C.180
D.240
热度🔥356
参考答案:A
解析:
【试题来源】
2012年国家《行测》真题
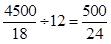
【解析】每月平均费用为
元,而这个式子略小于
,观察选项,只有A接近这一数值,因此,本题答案为A选项。
复制题目向AI提问
元,而这个式子略小于
,观察选项,只有A接近这一数值,因此,本题答案为A选项。">
content_copy
content_copy
扫码免费计算机二级刷题
2025年计算机等级考试题库
推荐
在Visual FoxPro中,如果希望跳出SCAN … ENDSCAN循环语句、执行ENDSCAN后面的语句,应使用( )。
假设新建了一个程序文件myProc.prg(不存在同名的.exe、.app和.fxp文件),然后在命令窗口输入命令DO myProc,执行该程序并获得正常的结果。现在用命令ERASE myProc.prg删除该程序文件,然后再次执行命令DO myProc,产生的结果是( )。
软件需求规格说明的内容应包括( )。
计算机中的字符包括西文字符和中文字符,关于字符编码,下列说法错误的是( )。
使用Word2010编辑文档时,如果希望在“查找”对话框的“查找内容”文本框中只需输入一个较短的词,便能依次查找分散在文档各处的较长的词,如输入英文单词“look”,便能够查找到“looked”、“looking”等,以下最优的操作方法是( )。