柠檬试题库
search
首页
计算机
公务员
驾照
关于
share
2008年1-5月,移动电话长途通话时长约是固定传统长途电话通话时长的多少倍?
A.3.4
B.2.5
C.1.9
D.0.5
热度🔥3
参考答案:C
解析:
【试题来源】
2010年国家《行测》真题
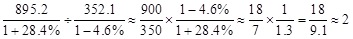
【解析】2009年1-5月,移动电话长途通话时长、固定传统长途电话通话时长分别为895.2、352.1亿分钟,同比增长分别为28.4%、﹣4.6%,则2008年1-5月,移动电话长途通话时长约是固定传统长途电话通话时长的
,与C项最接近。因此,本题答案选择C选项。
复制题目向AI提问
,与C项最接近。因此,本题答案选择C选项。">
content_copy
content_copy
扫码免费计算机二级刷题
2025年计算机等级考试题库
推荐
下列关于栈的叙述正确的是( )。
一间宿舍可住多个学生,则实体宿舍和学生之间的联系是( )。
某会计网校的刘老师正在准备有关《小企业会计准则》的培训课件,她的助手已搜集并整理了一份该准则的相关资料存放在Word文档“《小企业会计准则》培训素材.docx”中。按下列要求帮助刘老师完成PPT课件的整合制作:1. 在PowerPoint中创建一个名为“小企业会计准则培训.pptx”的新演示文稿,该演示文稿需要包含Word文档“《小企业会计准则》培训素材.docx”中的所有内容,每1张幻灯片对应Word文档中的1页,其中Word文档中应用了“标题1”、“标题2”、“标题3”样式的文本内容分别对应演示文稿中的每页幻灯片的标题文字、第一级文本内容、第二级文本内容。2. 将第1张幻灯片的版式设为“标题幻灯片”,在该幻灯片的右下角插入任意一幅剪贴画,依次为标题、副标题和新插入的图片设置不同的动画效果,并且指定动画出现顺序为图片、标题、副标题。3. 取消第2张幻灯片中文本内容前的项目符号、并将最后两行落款和日期右对齐。将第3张幻灯片中用绿色标出的文本内容转换为“垂直框列表”类的SmartArt图形,并分别将每个列表框链接到对应的幻灯片。将第9张幻灯片的版式设为“两栏内容”,并在右侧的内容框中插入对应素材文档第9页中的图形。将第14张幻灯片最后一段文字向右缩进两个级别,并链接到文件“小企业准则适用行业范围.docx”。4. 将第15张幻灯片自“(二)定性标准”开始拆分为标题同为“二、统一中小企业划分范畴”的两张幻灯片、并参考原素材文档中的第15页内容将前1张幻灯片中的红色文字转换为一个表格。5. 将素材文档第16页中的图片插入到对应幻灯片中、并适当调整图片大小。将最后一张幻灯片的版式设为“标题和内容”、将图片pic1.gif 插入内容框中并适当调整其大小。将倒数第二张幻灯片的版式设为“内容与标题”,参考素材文档第18页中的样例,在幻灯片右侧的内容框中插入SmartArt不定向循环图、并为其设置一个逐项出现的动画效果。6 .将演示文稿按下列要求分为5节,并为每节应用不同的设计主题和幻灯片切换方式。 节名 包含的幻灯片 小企业准则简介 1-3 准则的颁布意义 4-8 准则的制定过程 9 准则的主要内容 10-18 准则的贯彻实施 19-20
下面叙述中错误的是( )。