柠檬试题库
search
首页
计算机
公务员
驾照
关于
share
2007年,下列国家(地区)中人口最少的是:
A.中国香港
B.哥斯达黎加
C.新加坡
D.多米尼加
热度🔥4
参考答案:B
解析:
【试题来源】
2010年国家《行测》真题
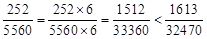
【解析】中国香港的人口数为
亿人,哥斯达黎家人口数为
亿人,新加坡人口数为
亿人,多米尼加人口数为
亿人,四个数值中,
显然大于
,
显然大于
的,由此可排除A、D两项。
,因此哥斯达黎加人口最少。因此,本题答案选择B选项。
复制题目向AI提问
亿人,哥斯达黎家人口数为
亿人,新加坡人口数为
亿人,多米尼加人口数为
亿人,四个数值中,
显然大于
,
显然大于
的,由此可排除A、D两项。
,因此哥斯达黎加人口最少。因此,本题答案选择B选项。">
content_copy
content_copy
扫码免费计算机二级刷题
2025年计算机等级考试题库
推荐
窗体上有一个名称为VScroll1的滚动条,当用鼠标拖动滚动条中的滚动块时,触发的事件是( )。
在分布式数据库的数据分配中,若所有全局数据有且只有一份,它们被分割成若干片段,每个片段被分配在一个特定场地上,则该策略属于( )
下列关于Winmail邮件服务器在快速设置向导中新建邮箱user@mail.abc.com时的描述中,错误的是()。
某种操作系统能够支持位于不同终端的多个用户同时使用一台计算机,彼此独立互不干扰,用户感到好像一台计算机全为他所用,这种操作系统属于( )。