解析:
【试题来源】
2011年北京《行测》真题
【解析】A选项中2005—2009年投资额只有2009年比4000多800多,其他年份明显都比4000少,2005年少了一千多,所以

,年均投资不到4000。B选项中2008年外商及港澳台投资额为:445.2÷(1+5.9%)≈420亿元,投资总额为3848.5亿元,所以所占比重

略大于10%,约一成。
C选项中增长量比较,第三产业的现期量远大于第一、第二产业,这样增长率影响不大,所以第三产业的增长量最多。
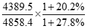
D选项中2009年第三产业投资占总投资额的比例为:

,而2008年比例为:

,所以2009年第三产业所占比例大于2008年。
因此,本题答案为B选项。