解析:
【试题来源】
2010年北京(社招)《行测》真题
【解析】A选项,属于直接读数类,比较简单,根据材料,2007国际旅游收入和入境旅游人数均居世界前十位的国家有美国、西班牙、法国、英国、德国、意大利、中国、土耳其,共8个国家。A项与资料相符合,故A项正确,选择A选项。
其它选项:
B选项包含世界各国,但表格中只反映了部分国家的情况,所以B选项错误。
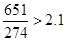
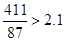
C.项:比较1995-2007年国际旅游收入增幅,等价于比较1995年到2007年的总的发展速度,1995-2007年国际旅游收入发展速度的世界平均水平是

。下面只需考虑排名上升或不变的国家的国际旅游收入发展速度:美国:

;英国:

;西班牙:

;德国:

;澳大利亚:

;中国:

。因此:西班牙、澳大利亚、中国4个国家超过世界平均水平,所以C选项错误。D选项:2007年法国入境旅游人数比英国多

,所以D选项错误。