柠檬试题库
search
首页
计算机
公务员
驾照
关于
share
与2009年相比,河北省2010年工业利润总额绝对值增加最大的所有制类型企业是()。
A.国有及国有控股企业
B.私营企业
C.股份制企业
D.大中型企业
热度🔥34
参考答案:B
解析:
【试题来源】
2011年河北《行测》真题
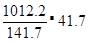
【解析】根据增长量计算公式,选项ABCD对应的增加值分别为
≈80+,
≈300+,
≈150,
≈200+,所以工业利润总额绝对值增加最大的是私营企业。因此,本题答案为B选项。
复制题目向AI提问
≈80+,
≈300+,
≈150,
≈200+,所以工业利润总额绝对值增加最大的是私营企业。因此,本题答案为B选项。">
content_copy
content_copy
扫码免费计算机二级刷题
2025年计算机等级考试题库
推荐
在数据库设计中,将E-R图转换成关系数据模型的过程属于( )。
数据库设计中反映用户对数据要求的模式是( )。
在窗体中有一个命令按钮Command1和一个文本框Text1,编写事件代码如下: Private Sub Command1_Click() For i=l To 4 x=3 For j=1 To 3 For k=1 To 2 x=x+3 Next k Next j Next i Text1.value=Str(x) End Sub 打开窗体运行后,单击命令按钮,文本框Text1输出的结果是( )。
若有以下程序 #include main() { int c; c = 13|5; printf("%d\n", c); } 则程序的输出结果是
现有一个具有多个分店的大型连锁超市,该连锁超市使用统一的连锁业务经营管理系统管理其日常业务。已知其中的销售数据明细表结构为(销售记录ID,商品ID,价格,数量,总金额,销售时间,分店ID),该表数据量很大。为了提高数据访问效率,系统将每年每个分店的销售数据划分成独立的数据表,这种划分方式被称为( )