解析:
【试题来源】
2011年内蒙古《行测》真题
【解析】A选项:山东鲜苹果的出口数量为144923.4吨,我国鲜苹果出口总量为31.2万吨,

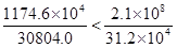
,出口总量不足一半;B选项:广西鲜苹果的出口额为1174.6万美元,出口量为30804.0吨,因此单价为

美元/吨;全国总出口额为2.1亿美元,出口总量为31.2万吨,因此,全国平均价为

美元/吨,直除首项可得

,即广西鲜苹果的出口平均单价低于全国平均水平;
C选项:我国对欧盟出口额为311万美元,共27个国家,平均每个欧盟国家自中国进口的鲜苹果价值为311/27万美元,显然超过了10万美元;
D选项:西藏鲜苹果出口量增量为7804.8-3734.0=

,甘肃鲜苹果出口量增量为4778.3-4170.1=

,西藏增量高于甘肃。
因此,本题答案为D选项。