解析:
【试题来源】
2014年上海(B卷)《行测》真题
【解析】A选项错误,与1973年相比,2008年女性科研工作的增长速度为:

;而男性科研工作的增长速度为:

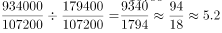
,则女性的增长速度约为男性的:

;
B选项错误,2002年男性科研工作者的平均基金额为403047,女性为330169,二者相差72828。2012年男性平均基金额为507279,女性为421169,二者相差86110,因此二者的差距进一步扩大了;
C选项错误,由图表可以直接得出,物理与天文学中的女性平均工资并非最高,故C项说法错误。
排除A、B、C三项。
故正确答案为D。
验证:1973年,女性在科研工作者中的比例为

;2008年女性在科研工作者中的比例为

,故D项表述正确。