柠檬试题库
search
首页
计算机
公务员
驾照
关于
share
2012年第一季度上海市城市居民家庭人均可支配收入增幅同比提高了0.4个百分点,则2010年第一季度上海市城市居民家庭人均可支配收入为()。
A.10028元
B.8929元
C.1273元
D.1233元
热度🔥3
参考答案:B
解析:
【试题来源】
2013年上海(B卷)《行测》真题
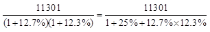
【解析】2012年第一季度上海城市居民人均可支配收入为11301元,增长率为12.7%,同比提高了0.4个百分点,即2011年的增长率为12.3%。所以,2010年第一季度家庭人均可支配收入应略小于2012年,但不可能相差十余倍据此排除C、D项。具体应为
<
<
=10000(元),只有B项符合。
复制题目向AI提问
<
<
=10000(元),只有B项符合。">
content_copy
content_copy
扫码免费计算机二级刷题
2025年计算机等级考试题库
推荐
有三个关系R,S和T如下: 则由关系R和S得到关系T的操作是
有以下程序 #include #define S(x) x*x main() { int k=5, j=2; printf("%d,%d\n", S(k+j+2),S(j+k+2)); } 程序的运行结果是
Cisco路由器第3模块第1端口通过E1标准的DDN专线与一台远程路由器相连,端口的IP地址为195.112.41.81/30,远程路由器端口封装PPP协议。下列路由器的端口配置,正确的是()。
为满足特定业务的,用于处理商务或技术数据或用于业务领域的实时控制的软件属于
小王今年毕业后,在一家计算机图书销售公司担任市场部助理,主要的工作职责是为部门经理提供销售信息的分析和汇总。请你根据销售统计表(“Excel.xlsx” 文件),按照如下要求完成统计和分析工作:1. 将“sheet1”工作表命名为“销售情况”,将“sheet2”命名为“图书定价”。2. 在“图书名称”列右侧插入一个空列,输入列标题为“单价”。3. 将工作表标题跨列合并后居中并适当调整其字体、加大字号,并改变字体颜色。设置数据表对齐方式及单价和小计的数值格式(保留2位小数)。根据图书编号,请在“销售情况”工作表的“单价”列中,使用VLOOKUP函数完成图书单价的填充。“单价”和“图书编号”的对应关系在“图书定价”工作表中。4.运用公式计算工作表“销售情况”中H列的小计。5. 为工作表“销售情况”中的销售数据创建一个数据透视表,放置在一个名为“数据透视分析”的新工作表中,要求针对各书店比较各类书每天的销售额。其中:书店名称为列标签,日期和图书名称为行标签,并对销售额求和。6. 根据生成的数据透视表,在透视表下方创建一个簇状柱形图,图表中仅对博达书店一月份的销售额小计进行比较。7. 保存“Excel.xlsx”文件。