柠檬试题库
search
首页
计算机
公务员
驾照
关于
share
2009年9月,上海市大约签订外商直接投资合同项目()项。
A.202
B.246
C.282
D.285
热度🔥64
参考答案:C
解析:
【试题来源】
2011年上海(B卷)《行测》真题
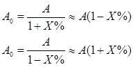
【解析】文段提到“2010年9月签订外商直接投资合同项目295项,比上年同月增长4.6%”,所以2009年9月签订外商直接投资合同项目数为
,结合选项,C选项最接近,因此,本题答案为C选项。 【扩展】当增长率较小时,在精度要求不是很高的情况下,可以粗略的估值, 近似公式:
复制题目向AI提问
,结合选项,C选项最接近,因此,本题答案为C选项。 【扩展】当增长率较小时,在精度要求不是很高的情况下,可以粗略的估值, 近似公式:
">
content_copy
content_copy
扫码免费计算机二级刷题
2025年计算机等级考试题库
推荐
若fp已定义为指向某文件的指针,且没有读到该文件的末尾,则C语言函数feof(fp)的函数返回值是
设有购买表(顾客号,商品号,购买时间)。现要查询2012年顾客A购买了但顾客B没有购买的商品。有下列查询语句: Ⅰ.SELECT 商品号 FROM 购买表 WHERE YEAR(购买时间)= '2012' AND 顾客号 = 'A' AND 商品号 NOT IN ( SELECT 商品号 FROM 购买表 WHERE YEAR(购买时间)= '2012' AND 顾客号 = 'B') Ⅱ.SELECT 商品号 FROM 购买表 WHERE YEAR(购买时间)= '2012' AND 顾客号 = 'A' EXCEPT SELECT 商品号 FROM 购买表 WHERE YEAR(购买时间)= '2012' AND 顾客号 = 'B' Ⅲ.SELECT 商品号 FROM 购买表 WHERE YEAR(购买时间)= 2012 AND 顾客号 = 'A' INTERSECT SELECT 商品号 FROM 购买表 WHERE YEAR(购买时间)= '2012' AND 顾客号 = 'B' Ⅳ.SELECT 商品号 FROM 购买表 WHERE YEAR(购买时间)= '2012' AND 顾客号 = 'A' UNION SELECT 商品号 FROM 购买表 WHERE YEAR(购买时间)= '2012' AND 顾客号 <> 'B' 上述语句中,能够实现该查询要求的是()
8259A在全嵌套方式下
数据库系统中,存储在计算机内有结构的数据集合称为( )。
李秘书需要将《国家中长期人才发展规划纲要》一文编辑整理并下发各部门,利用考生文件夹下提供的相关素材、参考样例文档,按下列要求帮助他完成文档的编排,最终的稿件不应超过22页: (1)打开考生文件夹下的Word文档“Word素材.docx”,将其另存为“Word.docx”(.docx为文件扩展名),之后所有的操作均基于此文件,否则不得分。 (2)按照下列要求修改并应用文档中的相关样式: ① 首先以文档“样式.docx”中的“标题1”、“标题2”、“标题3”样式的格式替换Word.docx文档中的同名样式。 ② 将Word.docx文档中“正文”样式的格式修改为首行缩进2字符、仿宋、五号字。 ③ 按下表所列为文档应用样式,并以自动连续编号替换原文中的手动纯文本序号: 内容 样式 自动编号 一、二、三、……段落 标题1 一、,二、,三、……,编号与后续文本间无分隔符号,编号位置保持默认 (一)、(二)、(三)……段落 标题2 (一),(二),(三)……,编号与后续文本间仅以空格分隔,编号位置保持默认 1.、2.、3.、……段落 标题3 1.,2.,3. ……,编号与后续文本间仅以空格分隔,左侧对齐位置0.75厘米,文本缩进0厘米(3)按照下列要求对文档内容进行编辑修改: ① 删除正文文档中所有空行和西文(半角)空格(不含编号后用于分隔的空格)。 ② 在文档的开始处插入“现代型”封面,将“插入目录”标记之前的3段文本分别移动到标题、副标题和文档摘要3个控件文本框中,删除作者和日期两个控件。 ③ 将“专栏:国家人才发展主要指标”下面的蓝色文本转换为一个与页面同宽的表格,且不指定列宽。应用一个恰当的表格样式,设置表格字体为小五,首行加粗、首行文本垂直水平均居中、且自动重复标题行。 ④ 将表格下方的“注:……”段落内容作为最下方指标“人才贡献率”的脚注,显示在当前页下方,脚注编号格式为①、②……。 ⑤ 根据表格内容,参考下图所示样例,在表格下方嵌入一个图表,要求图表的系列、图表类型、图例、坐标轴及标题、图表区格式等与样例图保持一致,并适当更换图表样式。 (4)在文档封面页后的“插入目录”标记处插入只包含第1、第2两级标题的目录替换“插入目录”标记,目录与序言分别开始于新的一页且位于同节中。 (5)封面、目录页、序言页不显示页码。自“一、指导方针、战略目标和总体部署”开始的正文内容另起一页,并插入自1开始的、格式为“-1-、-2-”的页码,页码位置及页眉内容按下表要求进行添加,最后更新目录。 页面类型 左侧内容 右侧内容 正文首页 页码 偶数页 页码 全角空格 当前“标题1”的标题内容 奇数页 当前“标题1”的标题内容 全角空格 页码 (6)参考考生文件夹下的“水印效果示例.jpg”,为文档正文部分页码为奇数的页面添加内容为“传阅档案”的水印效果。