柠檬试题库
search
首页
计算机
公务员
驾照
关于
share
1991年的污水处理厂污水处理量约为()亿吨。
A.0.62
B.1.20
C.1.28
D.17.13
热度🔥67
参考答案:B
解析:
【试题来源】
2010年上海《行测》真题
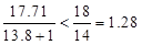
【解析】由文段可知,2008年,污水处理厂污水处理量17.71吨,比1991年增长13.8倍,所以1991年污水处理厂污水处理量为
,简单估算可得这个结果大于1小于2,故排除A、D选项;
,故选择B,因此,本题答案为B选项。
复制题目向AI提问
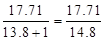
,简单估算可得这个结果大于1小于2,故排除A、D选项;
,故选择B,因此,本题答案为B选项。">
content_copy
content_copy
扫码免费计算机二级刷题
2025年计算机等级考试题库
推荐
在外部设备中,扫描仪属于()。
设循环队列的存储空间为Q(1:50),初始状态为front=rear=50。现经过一系列入队与退队操作后,front=rear=1,此后又正常地插入了两个元素。最后该队列中的元素个数为( )。
小蒋是一位中学教师,在教务处负责初一年级学生的成绩管理。由于学校地处偏远地区,缺乏必要的教学设施,只有一台配置不太高的PC可以使用。他在这台电脑中安装了Microsoft Office,决定通过 Excel 来管理学生成绩,以弥补学校缺少数据库管理系统的不足。现在,第一学期期末考试刚刚结束,小蒋将初一年级三个班的成绩均录入了文件名为"学生成绩单.xlsx"的Excel工作簿文档中。请你根据下列要求帮助小蒋老师对该成绩单进行整理和分析:1. 对工作表"第一学期期末成绩"中的数据列表进行格式化操作:将第一列"学号"列设为文本,将所有成绩列设为保留两位小数的数值;适当加大行高列宽,改变字体、字号,设置对齐方式,增加适当的边框和底纹以使工作表更加美观。2. 利用"条件格式"功能进行下列设置:将语文、数学、英语三科中不低于110 分的成绩所在的单元格以一种颜色填充,其他四科中高于95分的成绩以另一种字体颜色标出,所用颜色深浅以不遮挡数据为宜。3. 利用sum和average函数计算每一个学生的总分及平均成绩。4. 学号第 3、4 位代表学生所在的班级,例如:"120105"代表12级1班5号。请通过函数提取每个学生所在的班级并按下列对应关系填写在"班级"列中:"学号"的3、4位 对应班级01 1班02 2班03 3班5. 复制工作表"第一学期期末成绩",将副本放置到原表之后;改变该副本表标签的颜色,并重新命名,新表名需包含"分类汇总"字样。6. 通过分类汇总功能求出每个班各科的平均成绩,并将每组结果分页显示。7. 以分类汇总结果为基础,创建一个簇状柱形图,对每个班各科平均成绩进行比较,并将该图表放置在一个名为"柱状分析图"新工作表中。
下列叙述中正确的是( )。