柠檬试题库
search
首页
计算机
公务员
驾照
关于
share
2002年全国玉米产量是()
A.413公斤
B.328公斤
C.293公斤
D.259公斤
热度🔥2
参考答案:B
解析:
【试题来源】
2013年江苏(C卷)《行测》真题
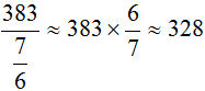
【解析】由题意可知,2002年全国玉米产量是
。 由于选项差距较大,可采用多种速算技巧。 1.估算法:分数约为
。因此,本题答案选择B选项。 2.直除法:直除首位商3,因此,本题答案为B选项; 3.放缩法:
,观察选项,只有B符合。 因此,本题答案选择B选项。
复制题目向AI提问
。 由于选项差距较大,可采用多种速算技巧。 1.估算法:分数约为
。因此,本题答案选择B选项。 2.直除法:直除首位商3,因此,本题答案为B选项; 3.放缩法:
,观察选项,只有B符合。 因此,本题答案选择B选项。">
content_copy
content_copy
扫码免费计算机二级刷题
2025年计算机等级考试题库
推荐
下列叙述中,错误的是()。
以下函数实现按每行8个输出w所指数组中的数据 #include void fun( int *w, int n) { int i; for(i=0;i
若有定义: int a,b; 通过语句 scanf("%d;%d",&a,&b); 能把整数3赋给变量a,5赋给变量b的输入数据是
下面描述中不属于数据库系统特点的是
有关ZAP命令的描述,正确的是( )。