解析:
【试题来源】
2013年江苏(B卷)《行测》真题
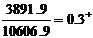
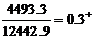
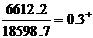
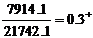
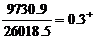
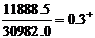
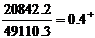
【解析】解法一:由材料可知,2002年至2011年这十年,江苏第三产业增加值占地区国内生产总值比重分别为

、

、

、

、

、

、

、

、

、

,显然2010年和2011年的比重较大,而2011年第三产业增加值的增速要高于地区国内生产总值的增速,所以比重的最大值是

,D项最接近。因此,本题答案选择D选项。解法二:根据第三产业增加值的增速和地区国内生产总值的增速的大小比较,可以得知,比重呈现上升的趋势。所以比重的最大值是2011年,为

,D项最接近。因此,本题答案选择D选项。