柠檬试题库
search
首页
计算机
公务员
驾照
关于
share
2003年~2011年九年,江苏金融业增加值占第三产业增加值比重最小的年份是()
A.2006年
B.2005年
C.2004年
D.2003年
热度🔥3
参考答案:B
解析:
【试题来源】
2013年江苏(B卷)《行测》真题
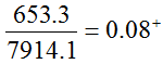
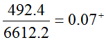
【解析】2003年至2006年,江苏金融业增加值占第三产业增加值比重分别为:
、
、
、
,显然2005年的比重最小。因此,本题答案选择B选项。
复制题目向AI提问
、
、
、
,显然2005年的比重最小。因此,本题答案选择B选项。">
content_copy
content_copy
扫码免费计算机二级刷题
2025年计算机等级考试题库
推荐
下列链表中,其逻辑结构属于非线性结构的是
在软件开发中,需求分析阶段产生的主要文档是( )。
一台交换机具有16个100/1000Mbps全双工下联端口,它的上联端口带宽至少应为()
小许正在使用Excel表格分析中国主要城市的空气质量,根据下列要求帮助她完成数据整理和分析工作。 (1)在考生文件夹下,将“Excel素材.xlsx”文件另存为“Excel.xlsx”(“.xlsx”为扩展名),后续操作均基于此文件,否则不得分。 (2)删除“广州”、“北京”和“上海”3张工作表中的全部超链接,并将这3张工作表中“日期”列数字格式都修改为“××年×月×日”格式,例如“16年5月8日”。 (3)根据“空气质量指数说明”工作表中的空气质量分级标准,在“广州”、“北京”和“上海”3张工作表的第I列和第J列分别统计每天空气“AQI指数”所对应的“空气质量指数级别”和“空气质量指数类别”。(4)设置“广州”、“北京”和“上海”3张工作表中数据区域的格式: ① 为3个工作表数据区域的标题行设置适当的单元格填充颜色、字体颜色,并为3个工作表数据区域添加所有框线。 ② 在“北京”工作表中,比较每天的PM2.5和PM10数值,将同一天中数值较大的单元格颜色填充为红色、字体颜色设置为“白色,背景1”。 ③ 在“上海”工作表中,如果某天PM2.5和PM10的数值都不小于100,则将该天整行记录的字体颜色都设置为红色。 ④ 在“广州”工作表中,如果某天为周末(周六或周日),且AQI指数大于广州市AQI指数的全年平均值,则将该天整行记录的字体颜色设置为红色。 (5)取消保护工作簿,调整工作表标签的顺序,自左至右分别为“北京”、“上海”、“广州”和“空气质量指数说明”。(6)参照考生文件夹下“数据透视表和数据透视图.png”文件中的样例效果,按照如下要求,在新的工作表中创建数据透视表和数据透视图: ① 数据透视表置于A1:B16单元格区域,可以显示每个城市1-12月AQI指数的平均值,不显示总计值,数值保留0位小数,并修改对应单元格中的标题文字。 ② 数据透视图置于C1:N16单元格区域中,图表类型为带数据标记的折线图。 ③ 数据透视图中不显示纵坐标轴、图例和网格线。 ④ 数据透视图数据标记类型为实心圆圈,大小为7。 ⑤ 数据透视图显示数据标签,且当数据标签的值大于100时,标签字体颜色为红色(颜色应可以根据选择城市的不同而自动变化)。 ⑥ 数据透视图图表标题为城市名称,且应当随数据透视表B1单元格中所选择城市的变化而自动更新。 ⑦ 隐藏数据透视图中的所有按钮。 ⑧ 将数据透视表和数据透视图所在工作表命名为“月均值”,并置于所有工作表右侧。 ⑨ 将数据透视图最终显示的城市切换为“北京”。(7)按照如下要求设置文档的页面布局: ① 设置“广州”、“北京”和“上海”3张工作表中标题所在行,使得在打印时,会在每页重复出现。 ② 将所有工作表的纸张方向设置为横向,并适当调整每张工作表的列宽和页边距,使得每个工作表中表格和图表的宽度不超过一页。 ③ 为整个工作簿添加页脚,格式为“页码 of 总页数”(例如“3 of 10”),且位于页脚正中。