柠檬试题库
search
首页
计算机
公务员
驾照
关于
share
2005~2009年中等职业教育招生数增长率最小的一年是()。
A.2009年
B.2006年
C.2007年
D.2008年
热度🔥4
参考答案:D
解析:
【试题来源】
2010年江苏(A卷)《行测》真题
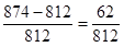
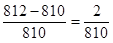
【解析】中等职业教育招生数增长率依次为:2006年为
;2007年为
;2008年为
;2009年的增长率为
,05~09这几年的中等职业教育招生数差别不是很大,而08年的增长量为2,明显小于其他年的增长量,故2008年的增长率最低。因此,本题答案为D选项。
复制题目向AI提问
;2007年为
;2008年为
;2009年的增长率为
,05~09这几年的中等职业教育招生数差别不是很大,而08年的增长量为2,明显小于其他年的增长量,故2008年的增长率最低。因此,本题答案为D选项。">
content_copy
content_copy
扫码免费计算机二级刷题
2025年计算机等级考试题库
推荐
下列运算结果中,值最大的是
有三个关系R,S和T如下: 则由关系R和S得到关系T的操作是
有以下程序 #include main() { int i, sum; for( i=1; i<6; i++ ) sum+=i; printf("%d\n", sum); } 程序运行后的输出结果是
利用计算机进行图书资料检索,所属的计算机应用领域是( )。