柠檬试题库
search
首页
计算机
公务员
驾照
关于
share
河北、安徽、四川、新疆四个省(区)中,2012年夏粮每公顷产量高于全国平均水平的省份有几个?()
A.1
B.2
C.3
D.4
热度🔥53
参考答案:C
解析:
【试题来源】
2012年4省市联考(新疆/福建/重庆/河南)《行...
【解析】解法一:估算法。全国为
河北为
≈5.5,安徽为
,四川为
,新疆为
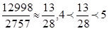
,因此,选择C选项。解法二:直除法。全国
,河北
安徽
,四川约为59/18<5,新疆约为58/11>5。故选项为C。
复制题目向AI提问
河北为
≈5.5,安徽为
,四川为
,新疆为
,因此,选择C选项。解法二:直除法。全国
,河北
安徽
,四川约为59/18<5,新疆约为58/11>5。故选项为C。">
content_copy
content_copy
扫码免费计算机二级刷题
2025年计算机等级考试题库
推荐
若有以下程序 #include #include #include typedef struct stu { char *name, gender; int score; } STU; void f(char *p) { p=(char *)malloc(10); strcpy(p, "Qian"); } main() { STU a={NULL, 'm', 290}, b; a.name=(char *)malloc(10); strcpy( a.name, "Zhao" ); b = a; f(b.name); b.gender = 'f'; b.score = 350; printf("%s,%c,%d,", a.name, a.gender, a.score); printf("%s,%c,%d\n", b.name, b.gender, b.score); } 则程序的输出结果是
在Cisco路由器上建立一个名为zw246的DHCP地址池,地址池的IP地址是176.115.246.0/24,其中不用于动态分配的地址有176.115.246.2-176.115.246.10,缺省网关为176.115.246.1,域名为tj.edu.cn,域名服务器地址为176.115.129.26,地址租用时间设定为6小时30分钟。下列DHCP地址池的配置,正确的是()。