柠檬试题库
search
首页
计算机
公务员
驾照
关于
share
2011年深交所成交金额最低的季度,其成交金额占全年两市总成交金额的()。
A.4%
B.6%
C.8%
D.10%
热度🔥5
参考答案:C
解析:
【试题来源】
2013年山东《行测》真题
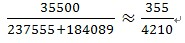
【解析】根据深交所成交金额一列相关数据可知,将这12个数据分成4组,很明显,在4季度的时候,有两个月的小于10000,另一个也不是很高,所以成交金额最低的必然是第四季度。 在第四季度,深交所的成交金额约为9500+16500+9500=35500,占两市总成交金额的比重约为
,估算该值约为8%左右。综上所述,本题答案为C选项。
复制题目向AI提问
,估算该值约为8%左右。综上所述,本题答案为C选项。">
content_copy
content_copy
扫码免费计算机二级刷题
2025年计算机等级考试题库
推荐
窗体中有文本框Text1。运行程序,输入大于0的整数m,单击按钮Command1,程序显示由星号组成的高度和上底均为m的等腰梯形形。例如,当m=5时,显示图形如下。 * * * * * * * * * * * * * * * * * * * * * * * * * * * * * * * * * * * * * * * * * * * * * 事件代码如下。 Private Sub Command1_Click() m = Val(Me!Text1) result = "" For k = 1 To m For n = 1 To 【 】 If n < m - k + 1 Then result = result & " " Else result = result & " *" End If Next n result = result + Chr(13) Next k MsgBox result, , "运行结果" End Sub 程序【 】处应填写的语句是
数据库管理系统是( )。
计算机操作系统的主要功能是( )。