柠檬试题库
search
首页
计算机
公务员
驾照
关于
share
2011年收入增长最快的公司(前10名)中,2010年收入最高的公司的收入是收入最低的公司的()倍。
A.4.7
B.4.8
C.5.5
D.6.3
热度🔥7
参考答案:D
解析:
【试题来源】
2013年陕西《行测》真题
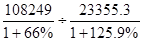
【解析】2011年收入增长最快的公司(前10名)中,2010年收入最高的公司应满足2011年的收入最高,利润率最低,因此是苹果公司;而收入最低的公司应满足2011年的收入最低,利润率最高,因此是浙江吉利控股集团。两者的比值为
=
≈者的比值为,利润率最高,。因此,本题答案选择D选项。
复制题目向AI提问
=
≈者的比值为,利润率最高,。因此,本题答案选择D选项。
">
content_copy
content_copy
扫码免费计算机二级刷题
2025年计算机等级考试题库
推荐
对长度为n的线性表作快速排序,在最坏情况下,比较次数为
软件按功能可以分为应用软件、系统软件和支撑软件(或工具软件)。下面属于应用软件的是( )。
下列对IPv6地址的表示中,错误的是()。
下面属于系统软件的是( )。
假设一个演示文稿有100张幻灯片,现在根据实际情况第51至55张幻灯片不需要播放,以下最优的操作方法是( )。