柠檬试题库
search
首页
计算机
公务员
驾照
关于
share
该厂1992年用水总量为()。
A.150亿立方米
B.1.5亿立方米
C.3.375亿立方米
D.不能确定
热度🔥7
参考答案:C
解析:
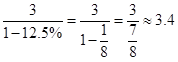
由98题可知1997年的用水量为3,又由资料,1997年用水量比1992年下降了12.5%,所以1992年的用水量为
。因此,本题答案为C选项。
复制题目向AI提问
。因此,本题答案为C选项。">
content_copy
content_copy
扫码免费计算机二级刷题
2025年计算机等级考试题库
推荐
计算机网络中传输介质传输速率的单位是bps,其含义是( )。
存在关系模型 Students(学号, 姓名, 性别, 专业),下列 SQL 语句中错误的是
为计算an的值,某人编写了函数power如下:Private Function power(a As Integer,n As Integer)As Long Dim s As Long p=a For k=1 To n p=p*a Next k power=pEnd Function在调试时发现是错误的,例如Print power(5,4)的输出应该是625,但实际输出是3125。程序需要修改。下面的修改方案中有3个是正确的,错误的一个是( )。
在Visual FoxPro中,下面关于属性、事件、方法叙述错误的是( )。