柠檬试题库
search
首页
计算机
公务员
驾照
关于
share
在所有商品中,伪劣商品批次占所检查商品批次的比例最高的是哪种?()
A.罐头
B.非酒精液体饲料
C.农用薄膜
D.电热器具
热度🔥4
参考答案:C
解析:
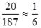
伪劣商品批次占所检查商品批次的比例分别为:罐头
,非酒精液体饲料
,农用薄膜
,电热器具
,明显最大的为农用薄膜。因此,本题答案为C选项。
复制题目向AI提问
,非酒精液体饲料
,农用薄膜
,电热器具
,明显最大的为农用薄膜。因此,本题答案为C选项。">
content_copy
content_copy
扫码免费计算机二级刷题
2025年计算机等级考试题库
推荐
数据流图中带有箭头的线段表示的是( )。
以下关于菜单的叙述中,错误的是( )。
在SQL Server 2008的某数据库中,设用户U1同时是角色R1和角色R2中的成员。现已授予角色R1对表T具有SELECT、INSERT和UPDATE权限,授予角色R2对表T具有INSERT和DENY UPDATE权限,没有对U1进行其他授权,则U1对表T有权执行的操作是()
下面与嵌入式处理器复位相关的叙述中,错误的是( )。
软件是( )。