柠檬试题库
search
首页
计算机
公务员
驾照
关于
share
{an}是一个等差数列,a3+a7-a10=8,a11-a4=4,则数列前13项之和是:( )
A.32
B.36
C.156
D.182
热度🔥2
参考答案:C
解析:
詹凯老师在国考基础班、专项班、冲刺班当中对“等差数列的运算性质”做过详尽的解析。等差数列有两条最重要的性质
(1)等差数列的平均值等于正中间的那个数(奇数个数或者正中间那两个数的平均值(偶数个数)
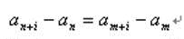
(2)任意角标差值相等的两个数之差都相等,即
这道题应用这两个性质可以简单求解。
因此a7=8+4=12,而这13个数的平均值又恰好为正中间的数字a7,因此这13个数的和为 12×13=156
在最后一步计算当中,可以应用“为数原则”。
复制题目向AI提问
这道题应用这两个性质可以简单求解。
因此a7=8+4=12,而这13个数的平均值又恰好为正中间的数字a7,因此这13个数的和为 12×13=156
在最后一步计算当中,可以应用“为数原则”。">
content_copy
content_copy
扫码免费计算机二级刷题
2025年计算机等级考试题库
推荐
有以下程序: #include main() { int b[3][3]={0,1,2,0,1,2,0,1,2},i,j,t=1; for(i=0; i<3; i++) for(j=i;j<=i;j++) t+=b[i][b[j][i]]; printf("%d\n",t); } 程序运行后的输出结果是( )。
下列各项时间中,哪一项不会影响磁盘读写性能?
软件需求规格说明的内容应包括( )。
计算机能直接识别和执行的语言是( )。
在某卫生站工作的营养科医生李一凡,要为社区居民制作一期关于巧克力知识的宣传页。按照如下要求帮助他完成此项工作。(1)在考生文件夹下,打开“Word素材.docx”文件,将其另存为“Word.docx”(“.docx”为扩展名),之后所有的操作均基于此文件,否则不得分。(2)调整纸张大小为A4,页边距上下各为2.5厘米,左右各为3厘米。(3)插入内置的“飞越型提要栏”文本框,并将文档标题下方以“巧克力(英语:chocolate,粤港澳译为:朱古力)…”开头的段落移动到文本框中,并适当调整字体与字号,完成效果可参考“首页.png”文件中的效果图。 (4)按照如下要求修改文档各级标题的格式: ① 为样式为“标题”的文本应用一种恰当的文本效果,并将其字号设置为28,字体为微软雅黑。 ② 为样式为“标题1”的文本所在段落添加颜色为“黑色,文字1,淡色35%”的底纹,并修改文本颜色为“白色,背景1”。 ③ 为样式为“标题2”的文本所在段落添加宽度为6磅,颜色为“黑色,文字1,淡色35%”的左边框,并将其左侧缩进值设置为1字符。 (5)参照“首页.png”示例文件中的效果为首页文档标题下方的6行文字设置格式: ① 为这6行文字添加制表位,前导符和对齐方式应与示例效果一致。 ② 设置前导符左侧文字的宽度为4字符。(6) 将标题“历史发展”下方的项目符号列表转换为SmartArt图形,布局为“重复蛇形流程”,修改图形中4个箭头的形状为“燕尾箭头”,并适当调整SmartArt图形样式和文字对齐方式。 (7)将标题“营养介绍”及其所属内容和标题“关于误解”及其所属内容置于独立的页面中,且纸张方向为横向。 (8)根据“表格和图表.png”文件中的样例效果,将标题“营养介绍”下方表格中从“微量元素”行开始的内容转换为图表,按照样例设置图表标题、水平轴标签排列顺序、垂直轴的刻度。将分类间距调整为60%,并为图表应用一种恰当的样式,删除图例和网格线。 (9)根据“表格和图表.png”文件中的样例效果,适当调整标题“营养介绍”下方表格中剩余部分(“营养价值”及所属行)的格式和宽度,并调整表格和图表的文字环绕方式,使得二者并排分别位于页面左侧和右侧(注意:在完成效果中,标题“营养介绍”和所属的表格及图表应在一个页面内呈现)。 (10)根据“分栏.png”文件中的样例效果,为标题“关于误解” 所属内容按下列要求分栏: ① 栏数为三栏,并且使用分隔线。 ② 每个标题2及其所属内容,位于独立的栏中。(11) 按照下列要求设置文档中的图片: ① 将标题“历史发展”、“加工过程”和“饮食文化”下方的3张图片的文字环绕方式都设置为“紧密型”,适当调整图片大小和位置。 ② 锁定3张图片的标记。 ③ 为3张图片添加可以自动更新的题注,内容如下表: 图片 题注内容 标题“历史发展”下方图片 图1 巧克力的玛雅文写法 标题“加工过程”下方图片 图2 烘焙过的可可豆 标题“饮食文化”下方图片 图3 可可树与可可豆(12)在页面底端,为文档添加适当的页码。