柠檬试题库
search
首页
计算机
公务员
驾照
关于
share
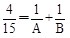
已知
,A、B为自然数,且A≥B,那么A有几个不同的值?( )
A.2
B.3
C.4
D.5
热度🔥14
参考答案:B
解析:
,则
,
,解得
。当B=4时,A=60;B=5时,A=15;B=6时,A=10;B=7时,A无整数解。A共有3个不同的取值。因此,答案选择B选项。
复制题目向AI提问
,A、B为自然数,且A≥B,那么A有几个不同的值?( ) A.2 B.3 C.4 D.5 答案:B。 解析:
,则
,
,解得
。当B=4时,A=60;B=5时,A=15;B=6时,A=10;B=7时,A无整数解。A共有3个不同的取值。因此,答案选择B选项。">
content_copy
content_copy
扫码免费计算机二级刷题
2025年计算机等级考试题库
推荐
下列程序段运行后,变量 b 的值是 b = 1 Do Until b > 7 b = b * ( b + 1 ) Loop
作为现代计算机基本结构的冯•诺依曼体系包括( )。
马老师负责本次公务员考试成绩数据的整理,按照下列要求帮助她完成相关的整理、统计和分析工作:(1) 将考生文件夹下的工作簿文档“Excel素材.xlsx”另存为“Excel.xlsx”(“.xlsx”为文件扩展名),之后所有的操作均基于此文件,否则不得分。操作过程中,不可以随意改变工作表中数据的顺序。(2) 将考生文件夹下的工作簿“行政区划代码对照表.xlsx”中的工作表“Sheetl”复制到工作表“名单”的左侧,并重命名为“行政区划代码”、且工作表标签颜色设为标准紫色;以考生文件夹下的图片“map.jpg”作为该工作表的背景,不显示网格线。(3) 按照下列要求对工作表“名单”中的数据进行完善:① 在“序号”列中输入格式为“00001、00002、00003......”的顺序号。② 在“性别”列的空白单元格中输入“男”。③ 在“性别”和“部门代码”之间插入一个空列,列标题为“地区”。自左向右准考证号的第5、为地区代码,依据工作表“行政区划代码”中的对应关系在“地区”列中输入地区名称。④ 在“部门代码”列中填入相应的部门代码,其中准考证号的前3位为部门代码。⑤ 准考证号的第4位代表考试类别,按照下列计分规则计算每个人的总成绩:(4) 按照下列要求对工作表“名单”的格式进行设置:① 修改单元格样式“标题1”,令其格式变为“微软雅黑”、14磅、不加粗、跨列居中、其他保持默认效果。为第1行中的标题文字应用更改后的单元格样式“标题1”,令其在所有数据上方居中排列,并隐藏其中的批注内容。② 将笔试分数、面试分数、总成绩3列数据设置为形如“123.320分”、且能够正确参与运算的数值类数字格式。③ 正确的准考证号为12位文本,面试分数的范围为0-100之间整数(含本数),试检测这两列数据的有效性,当输入错误时给出提示信息“起出范围请重新输入! ”,以标准红色文本标出存在的错误数据。④ 为整个数据区域套用一个表格格式,取消筛选并转换为普通区域。⑤ 适当加大行高、并自动调整各列列宽至合适的大小。⑥ 锁定工作表的第1~3行,使之始终可见。⑦ 分别以数据区域的首行作为各列的名称。(5) 以工作表“名单”的原始数据为依据,在工作表“统计分析”中按下列要求对各部门数据进行统计:① 首先获取部门代码及报考部门,并按部门代码的升序进行排列。② 将各项统计数据填入相应单元格,其中统计男女人数时应使用函数并应用已定义的名称,最低笔试分数线按部门统计。③ 对工作表“统计分析”设置条件格式,令其只有在单元格非空时才会自动以某一浅色填充偶数行、且自动添加上下边框线。④ 令第G列数字格式显示为百分数、要求四舍五入精确到小数点后3位。(6)以工作表“统计分析”为数据源,生成如表中数据右侧示例所示的图表,要求如下:① 图标标题与数据上方第1行中的标题内容一致并可同步变化。② 适当改变图表样式、图表中数据系列的格式、调整图例的位置。③ 坐标轴设置应与示例相同。④ 将图表以独立方式嵌入到新工作表“分析图表”中,令其不可移动。