柠檬试题库
search
首页
计算机
公务员
驾照
关于
share
10头牛和2匹马每天吃草170千克,4头牛和10匹马每天吃草160千克,则每头牛和每匹马每天各吃草多少千克?( )。
A.1510
B.1015
C.2010
D.1020
热度🔥12
参考答案:A
解析:
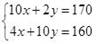
假设每头牛每天吃草
千克,每匹马每天吃草
千克,根据题意可列方程组
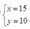
,解得
。因此,本题答案为A选项。
复制题目向AI提问
千克,每匹马每天吃草
千克,根据题意可列方程组
,解得
。因此,本题答案为A选项。">
content_copy
content_copy
扫码免费计算机二级刷题
2025年计算机等级考试题库
推荐
一棵二叉树共有25个结点,其中5个是叶子结点,则度为1的结点数为( )
数字信号处理器(DSP)广泛使用于嵌入式系统,下面关于DSP的叙述中错误的是( )。
小吕在利用 PowerPoint 2010 制作旅游风景简介演示文稿时插入了大量的图片,为了减小文档体积以便通过邮件方式发送给客户浏览,需要压缩文稿中图片的大小,最优的操作方法是( )。
小李的打印机不支持自动双面打印,但他希望将一篇在Word中编辑好的论文连续打印在A4纸的正反两面上,最优的操作方法是( )。