柠檬试题库
search
首页
计算机
公务员
驾照
关于
share
全班同学去公园租了若干条船,如果减少一条船,那么每条船上正好坐9人;如果增加一条船,那么每条船正好坐6人
。问全班有多少人?( )
A.18
B.26
C.36
D.46
热度🔥213
参考答案:C
解析:
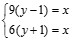
解法一:设共有x人,y条船。根据题意可列方程:
,解得:
。因此,本题答案为C选项。解法二:如果减少一条船,那么每条船上正好坐9人;如果增加一条船,那么每条船正好坐6人,因此总人数是6和9的倍数,因此只有A、C可能为正确答案。将A代入题干,不符合题意。因此,本题答案为C选项。
复制题目向AI提问
,解得:
。因此,本题答案为C选项。解法二:如果减少一条船,那么每条船上正好坐9人;如果增加一条船,那么每条船正好坐6人,因此总人数是6和9的倍数,因此只有A、C可能为正确答案。将A代入题干,不符合题意。因此,本题答案为C选项。">
content_copy
content_copy
扫码免费计算机二级刷题
2025年计算机等级考试题库
推荐
下列关于通用对话框CommonDialog1的叙述中,错误的是( )。
在并行数据库中,有关系R(A, B)和S(A, C),需要将它们根据A属性拆分到不同的磁盘上。现有查询SELECT B FROM R, S WHERE R.A = S.A。下列拆分方式中最适合该查询的是()
关于QQ系统的描述中,正确的是
某台微机安装的是64位操作系统,“64位”指的是( )。