柠檬试题库
search
首页
计算机
公务员
驾照
关于
share
一个两位数,它的个位上的数比十位上的数大1,如果把个位上的数与十位上的数互相交换,那么所得的新数的倒数比原数的倒数小
,求这个两位数。( )
A.45
B.23
C.12
D.34
热度🔥1
参考答案:C
解析:
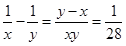
解法一:设原数为
,新数为
,由题意有
,由此可知
应为28的倍数,选项中只有C满足。
解法二:设这个两位数为
,根据题意可得:
,解得:
,故这个两位数为12。因此,本题答案为C选项。
解法三:代入排除法。将选项依次代入题目验证,只有C项满足要求。因此,本题答案选择C选项。
复制题目向AI提问
,求这个两位数。( ) A.45 B.23 C.12 D.34 答案:C。 解析:解法一:设原数为
,新数为
,由题意有
,由此可知
应为28的倍数,选项中只有C满足。
解法二:设这个两位数为
,根据题意可得:
,解得:
,故这个两位数为12。因此,本题答案为C选项。
解法三:代入排除法。将选项依次代入题目验证,只有C项满足要求。因此,本题答案选择C选项。">
content_copy
content_copy
扫码免费计算机二级刷题
2025年计算机等级考试题库
推荐
程序测试的目的是
设计窗体时,双击窗体上没有控件的地方,打开的窗口是( )。
假设成绩字段的默认值是空值,检索还未确定成绩的学生选课信息,正确的SQL命令是( )。
下面是关于嵌入式系统使用的存储器的叙述,其中错误的是( )。
下列各排序法中,最坏情况下的时间复杂度最低的是( )。