柠檬试题库
search
首页
计算机
公务员
驾照
关于
share
一列队伍沿直线匀速前进,某时刻一传令兵从队尾出发,匀速向队首前进传送命令,他到达队首后马上以原速返回,当他返回队尾时,队伍行进的距离正好与整列队伍的长度相等。问传令兵从出发到最后到达队尾所行走的整个路程是队伍长度的多少倍?( )
A.1.5
B.2
C.
D.
热度🔥5
参考答案:C
解析:
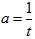
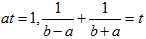
本题为行程类题目。设队伍长度为1,队伍行走的速度为a,传令兵的速度为b,传令兵从出发到到达队尾的时间为t,所量为bt/1=bt,则由题意,有下列方程:
,将
代入,得到
解得
。选C。
复制题目向AI提问
D.
答案:C。 解析:本题为行程类题目。设队伍长度为1,队伍行走的速度为a,传令兵的速度为b,传令兵从出发到到达队尾的时间为t,所量为bt/1=bt,则由题意,有下列方程:
,将
代入,得到
解得
。选C。">
content_copy
content_copy
扫码免费计算机二级刷题
2025年计算机等级考试题库
推荐
有以下程序 #include main() { char c[2][5]={"6938","8254" }, *p[2]; int i, j, s=0; for( i=0; i0 ; j+=2 ) s=10*s+p[i][j]-'0'; printf("%d\n",s); } 程序运行后的输出结果是
有以下程序 #include main() { FILE *fp; int i, a[6] = {1,2,3,4,5,6}; fp = fopen( "d2.dat", "w+" ); for (i=0; i<6; i++) fprintf( fp, "%d\n", a[i] ); rewind( fp ); for ( i=0; i<6; i++ ) fscanf( fp, "%d", &a[5-i] ); fclose(fp); for ( i=0; i<6; i++ ) printf( "%d,", a[i] ); } 程序运行后输出结果是
有如下程序:Private Sub Command1_Click() Dim i As Integer, j As Integer Dim sum As Integer n=1 Do j=1 Do sum=sum+j j=j+1 Print j; Loop Until j>3 n=n+2 Loop Until n>10 Print sumEnd Sub运行上述程序,外层Do循环执行的次数为( )。
查询学生表的全部记录并存储于临时表文件one中的SQL命令是( )。
以下有关软件需求规格说明书编写原则的说法中,错误的是