柠檬试题库
search
首页
计算机
公务员
驾照
关于
share
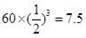
有一杯50ml的溶液,浓度是60mg/ml,现向杯中加入50ml的水,充分混合后,倒出50ml溶液,重复上述操作3次后,杯中溶液浓度变成( )mg/ml。
A.7.5
B.15
C.20
D.30
热度🔥9
参考答案:A
解析:
原由溶液50ml,每次加水50ml,所以每次加水,浓度都变成之前的
,重复加水3次,所以浓度变成
mg/ml。因此,本题答案为A选项。
复制题目向AI提问
,重复加水3次,所以浓度变成
mg/ml。因此,本题答案为A选项。">
content_copy
content_copy
扫码免费计算机二级刷题
2025年计算机等级考试题库
推荐
类之间的层次关系属于
小李在东方公司担任行政助理,年底小李统计了公司员工档案信息的分析和汇总。请你根据东方公司员工档案表("Excel.xlsx" 文件),按照如下要求完成统计和分析工作:1. 请对"员工档案表"工作表进行格式调整,将所有工资列设为保留两位小数的数值,适当加大行高列宽。2. 根据身份证号,请在"员工档案表"工作表的"出生日期"列中,使用MID函数提取员工生日,单元格式类型为"yyyy'年'm'月'd'日'"。3. 根据入职时间,请在"员工档案表"工作表的"工龄"列中,使用TODAY函数和INT函数计算员工的工龄,工作满一年才计入工龄。4.引用"工龄工资"工作表中的数据来计算"员工档案表"工作表员工的工龄工资,在"基础工资"列中,计算每个人的基础工资。(基础工资=基本工资+工龄工资)5. 根据"员工档案表"工作表中的工资数据,统计所有人的基础工资总额,并将其填写在"统计报告"工作表的B2单元格中。6. 根据"员工档案表"工作表中的工资数据,统计职务为项目经理的基本工资总额,并将其填写在"统计报告"工作表的B3单元格中。7. 根据"员工档案表"工作表中的数据,统计东方公司本科生平均基本工资,并将其填写在"统计报告"工作表的B4单元格中。8. 通过分类汇总功能求出每个职务的平均基本工资。9. 创建一个饼图,对每个员工的基本工资进行比较,并将该图表放置在"统计报告"中。10. 保存"Excel.xlsx"文件。
江老师使用Word编写完成了课程教案,需根据该教案创建PowerPoint课件,最优的操作方法是( )。
下列叙述中正确的是( )。