柠檬试题库
search
首页
计算机
公务员
驾照
关于
share
某件商品如果打九折销售,利润是原价销售时的2/3;如果打八折后再降价50元销售,利润是原价销售时的1/4。该商品如果打八八折销售,利润是多少元?
A.240
B.300
C.360
D.480
热度🔥3
参考答案:C
解析:
【试题来源】
2014年北京《行测》真题
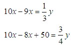
【解析】设商品原价为10x,利润为y。根据题意有:
,解得x=200,y=600。所以,商品原价为2000,成本为2000-600=1400,则打八八折的价格为1760,因此利润为1760-1400=360。因此,本题答案选择C选项。
复制题目向AI提问
,解得x=200,y=600。所以,商品原价为2000,成本为2000-600=1400,则打八八折的价格为1760,因此利润为1760-1400=360。因此,本题答案选择C选项。">
content_copy
content_copy
扫码免费计算机二级刷题
2025年计算机等级考试题库
推荐
下列数据结构中,属于非线性结构的是( )。
有以下程序,程序中库函数islower (ch)用以判断ch中的字母是否为小写字母 #include #include void fun(char *p ) { int i=0; while(p[i]) { if(p[i]==' '&& islower(p[i-1])) p[i-1]=p[i-1]-'a'+'A'; i++; } } main() { char s1[100]="ab cd EFG !"; fun(s1); printf("%s\n",s1); } 程序运行后的输出结果是
有以下程序 #include main() { int k=-17; printf("%d,%o,%x\n", k, 1-k, 1-k); } 程序的运行结果是
某带链的队列初始状态为 front=rear=NULL。经过一系列正常的入队与退队操作后,front=rear=10。该队列中的元素个数为( )。