柠檬试题库
search
首页
计算机
公务员
驾照
关于
share
太平商场1996年创利润比西北商场多20%,请问西北商场1996年创利润比太平商场少多少?( )
A.16.7%
B.20%
C.24%
D.25%
热度🔥2
参考答案:A
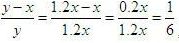
解析:
,
复制题目向AI提问
,
">
content_copy
content_copy
扫码免费计算机二级刷题
2025年计算机等级考试题库
推荐
下列定义变量的语句中错误的是
有以下程序 #include void fun(char *t , char *s) { while(*t!=0) t++; while( (*t++ = *s++ )!=0 ) ; } main() { char ss[10]="acc",aa[10]="bbxxyy"; fun(ss, aa); printf("%s,%s\n", ss,aa); } 程序的运行结果是
数据库管理系统为提高数据查询效率,可能会采用如下索引技术: Ⅰ.有序索引 Ⅱ.聚集索引 Ⅲ.树型索引 Ⅳ.散列(哈希)索引 其中,将属性值作为参数,不采用索引键值比较,而是采用一定的计算方法定位数据的有()
设某数据库管理员设计了如下图所示的数据库服务器容错架构,此架构一般被称为 ()。
设数据元素的集合D={ 1,3,5,7,9 },D上的关系为R,下列数据结构B=(D,R)中为非线性结构的是( )。