柠檬试题库
search
首页
计算机
公务员
驾照
关于
share
某公安行动组有成员若干名,如果有1名女同志在外执勤,剩下组员中
是女性。如果有3名男同志在外执勤,剩下组员中有
是女性。如果行动组要派出男女各2名组员在外执勤,那么执勤人员的组成方式有( )种。
A.168
B.216
C.286
D.356
热度🔥27
参考答案:B
解析:
【试题来源】
2013年广东《行测》真题
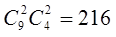
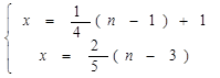
【解析】设女同志为x,总人数为n,则
,解出x=4,n=13,即女警为4人,男警为9人,所以选择两男两女就是
.因此本题答案为B选项。
复制题目向AI提问
是女性。如果有3名男同志在外执勤,剩下组员中有
是女性。如果行动组要派出男女各2名组员在外执勤,那么执勤人员的组成方式有( )种。 A.168 B.216 C.286 D.356 答案:B。 解析:【试题来源】
2013年广东《行测》真题
【解析】设女同志为x,总人数为n,则
,解出x=4,n=13,即女警为4人,男警为9人,所以选择两男两女就是
.因此本题答案为B选项。">
content_copy
content_copy
扫码免费计算机二级刷题
2025年计算机等级考试题库
推荐
下列各类计算机程序语言中,不属于高级程序设计语言的是( )。
下列关于二叉树的叙述中,正确的是( )。
有以下程序 #include main() { int a, b; for( a=1,b=1; a=20) break; if(b % 3==1) { b=b+3; continue; } b=b-5; } printf("%d\n",a); } 程序的输出结果是
关于优化查询说法正确的是()
下列叙述中正确的是( )。