柠檬试题库
search
首页
计算机
公务员
驾照
关于
share
一个射击运动员的准确率是80%,那么他连续射击5次,有4次命中的概率是( )。
A.80%
B.63.22%
C.40.96%
D.32.81%
热度🔥1
参考答案:C
解析:
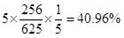
5次射击中4次命中的情况数共有
种。由每次射击准确率是80%,
可知每种情况下4次命中,1次不中,其概率为
,所有5种情况下的概率之和为
。因此,本题答案为C选项。
复制题目向AI提问
种。由每次射击准确率是80%,
可知每种情况下4次命中,1次不中,其概率为
,所有5种情况下的概率之和为
。因此,本题答案为C选项。">
content_copy
content_copy
扫码免费计算机二级刷题
2025年计算机等级考试题库
推荐
设有定义: int k=0; 以下选项的四个表达式中与其他三个表达式的值不相同的是
下列关于综合布线系统的描述中,错误的是()
在Catalyst 6500交换机上将端口3/1至3/24的传输速率设置为1Gbps,正确的配置是()
小梅想要了解当前Excel 2010文档中的工作表最多有多少行,最快捷的操作方法是( )。