柠檬试题库
search
首页
计算机
公务员
驾照
关于
share
A.
B.
C.
D.
热度🔥1
参考答案:C
解析:
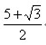
要求的是表面积,正方体在切去一个角以后边成了一个七面体,其有有三个面仍是原来的正方体的正方形,边长为1,面积是1,合计面积为3,另外四个面中有三个面是原正方形的一半,合计面积为
,最后一个面是一个三角形,是三个两两相邻的原正方形的对角线构成的,是个等边三角形,边长为
,其高为一个直角三角形的斜边,该直角三角形长边为1,短边为
,则斜边为
,可知该等边三角形的面积为
=
,合计为
=
,所以答案为C项。
复制题目向AI提问
A.
B.
C.
D.
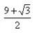
答案:C。 解析:要求的是表面积,正方体在切去一个角以后边成了一个七面体,其有有三个面仍是原来的正方体的正方形,边长为1,面积是1,合计面积为3,另外四个面中有三个面是原正方形的一半,合计面积为
,最后一个面是一个三角形,是三个两两相邻的原正方形的对角线构成的,是个等边三角形,边长为
,其高为一个直角三角形的斜边,该直角三角形长边为1,短边为
,则斜边为
,可知该等边三角形的面积为
=
,合计为
=
,所以答案为C项。">
content_copy
content_copy
扫码免费计算机二级刷题
2025年计算机等级考试题库
推荐
有关系R如下,其中属性B为主键: 则其中最后一个记录违反了
下列关于入侵检测系统探测器获取网络流量的方法中,错误的是()
有汇编程序段如下 CODES SEGMENT ASSUME CS:CODES START: MOV CX, 10 XOR AX, AX MOV BX, 1 AGAIN: ADD AX, BX INC BX LOOP AGAIN CODES ENDS END START 程序执行后,AX和BX的内容分别是
在 Excel 2010 中,希望在一个单元格输入两行数据,最优的操作方法是( )。