柠檬试题库
search
首页
计算机
公务员
驾照
关于
share
一个等边三角形的面积是4
cm,则这个三角形边长是( )cm。
A.4
B.2
C.2.5
D.3
热度🔥10
参考答案:A
解析:
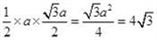
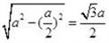
如下图,假设等边三角形边长为
,根据勾股定理,可知其高为
,所以等边三角形的面积为
,解得
。
复制题目向AI提问
cm,则这个三角形边长是( )cm。 A.4 B.2 C.2.5 D.3 答案:A。 解析:如下图,假设等边三角形边长为
,根据勾股定理,可知其高为
,所以等边三角形的面积为
,解得
。">
content_copy
content_copy
扫码免费计算机二级刷题
2025年计算机等级考试题库
推荐
支持子程序调用的数据结构是( )。
有商品表内容如下: 执行SQL命令: SELECT 部门号,MAX(单价*数量) FROM 商品表 GROUP BY 部门号; 查询结果的记录数是( )。
Access 2010 数据库6个对象中,实际存放数据的对象是
销售部助理小王需要针对公司上半年产品销售情况进行统计分析,并根据全年销售计划执行进行评估。按照如下要求完成该项工作: 1. 在考生文件夹下,打开“Excel素材.xlsx”文件,将其另存为“Excel.xlsx”(“.docx”为扩展名),之后所有的操作均基于此文件,否则不得分。 2. 在“销售业绩表”工作表的“个人销售总计”列中,通过公式计算每名销售人员1月~6月的销售总和。 3. 依据“个人销售总计”列的统计数据,在“销售业绩表”工作表的“销售排名”列中通过公式计算销售排行榜,个人销售总计排名第一的,显示“第1名”;个人销售总计排名第二的,显示“第2名”;以此类推。 4. 在“按月统计”工作表中,利用公式计算1月~6月的销售达标率,即销售额大于60000元的人数所占比例,并填写在“销售达标率”行中。要求以百分比格式显示计算数据,并保留2位小数。 5. 在“按月统计”工作表中,分别通过公式计算各月排名第1、第2和第3的销售业绩,并填写在“销售第一名业绩”、“销售第二名业绩”和“销售第三名业绩”所对应的单元格中。要求使用人民币会计专用数据格式,并保留2位小数。 6. 依据“销售业绩表”中的数据明细,在“按部门统计”工作表中创建一个数据透视表,并将其放置于A1单元格。要求可以统计出各部门的人员数量,以及各部门的销售额占销售总额的比例。数据透视表效果可参考“按部门统计”工作表中的样例。 7. 在“销售评估”工作表中创建一标题为“销售评估”的图表,借助此图表可以清晰反映每月“A类产品销售额”和“B类产品销售额”之和,与“计划销售额”的对比情况。图表效果可参考“销售评估”工作表中的样例。