柠檬试题库
search
首页
计算机
公务员
驾照
关于
share
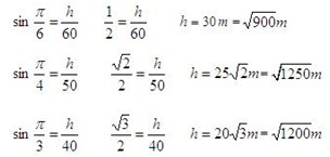
文化广场举行放风筝比赛,老年组老王、老侯、老黄三位选手同场竞技,评委测量各人放出的风筝线长分别为60米、50米、40米,风筝线与地平面所成角分别为
,假设风筝线看做是拉直的,则三位选手放风筝最高的是
A.老王
B.老侯
C.老黄
D.不能确定
热度🔥15
参考答案:B
解析:
老王所放风筝的高度
所以风筝放得最高的是老候
复制题目向AI提问
,假设风筝线看做是拉直的,则三位选手放风筝最高的是
A.老王 B.老侯 C.老黄 D.不能确定 答案:B。 解析:老王所放风筝的高度
所以风筝放得最高的是老候">
content_copy
content_copy
扫码免费计算机二级刷题
2025年计算机等级考试题库
推荐
对长度为n的线性表作快速排序,在最坏情况下,比较次数为
打开窗体时,触发事件的顺序是
VBA 中求字符串长度的函数是
有以下程序 #include #include main() { int i; char a[]="How are you!"; for (i=0; a[i]; i++) if (a[i] == ' ') { strcpy(a, &a[i+1]); i=0; } printf("%s\n",a); } 程序的运行结果是
设窗体中有一个文本框Text1,若在程序中执行了 Text1.SetFocus,则触发( )。