柠檬试题库
search
首页
计算机
公务员
驾照
关于
share
在边长为2厘米的正方形里,分别以它的边长为直径画弧,如右上图,问四叶玫瑰形(阴影部分)的面积?( )
A.2.86平方厘米
B.2.28平方厘米
C.2.14平方厘米
D.2平方厘米
热度🔥9
参考答案:B
解析:
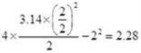
如下图,观察可知,阴影部分的面积=半圆AEB的面积+半圆BEC的面积+半圆CED的面积+半圆DEA的面积-正方形ABCD的面积=4×半圆AED的面积-正方形ABCD的面积=
平方厘米。因此,本题答案为B选项。
复制题目向AI提问
A.2.86平方厘米 B.2.28平方厘米 C.2.14平方厘米 D.2平方厘米 答案:B。 解析:如下图,观察可知,阴影部分的面积=半圆AEB的面积+半圆BEC的面积+半圆CED的面积+半圆DEA的面积-正方形ABCD的面积=4×半圆AED的面积-正方形ABCD的面积=
平方厘米。因此,本题答案为B选项。">
content_copy
content_copy
扫码免费计算机二级刷题
2025年计算机等级考试题库
推荐
下列叙述中正确的是( )。
下面关于CAN总线的叙述中,正确的是( )。
在文件系统中,文件存储空间的分配单位通常是
运动会中一个运动项目可以有多名运动员参加,一个运动员可以参加多个项目。则实体项目和运动员之间的联系是( )。
小张要制作一份介绍世界动物日的PowerPoint演示文稿。按照下列要求,帮助他完成演示文稿的制作。1. 在考生文件夹下新建一个空白演示文稿,将其命名为“PPT.pptx”(“.pptx”为文件扩展名),之后所有的操作均基于此文件,否则不得分。2. 将幻灯片大小设置为“全屏显示(16:9) ”,然后按照如下要求修改幻灯片母版:① 将幻灯片母版名称修改为“世界动物日”;母版标题应用“填充-白色,轮廓-强调文字颜色1”的艺术字样式,文本轮廓颜色为“蓝色,强调文字颜色1”,字体为“微软雅黑”,并应用加粗效果;母版各级文本样式设置为“方正姚体”,文字颜色为“蓝色,强调文字颜色1”。② 使用“图片l.jpg”作为标题幻灯片版式的背景。③ 新建名为“世界动物日1”的自定义版式,在该版式中插入“图片2.jpg”,并对齐幻灯片左侧边缘;调整标题占位符的宽度为17.6厘米,将其置于图片右侧;在标题占位符下方插入内容占位符,宽度为17.6厘米,高度为9.5厘米,并与标题占位符左对齐。④ 依据“世界动物日1”版式创建名为“世界动物日2”的新版式,在“世界动物日2”版式中将内容占位符的宽度调整为10厘米(保持与标题占位符左对齐);在内容占位符右侧插入宽度为7.2厘米、高度为9.5厘米的图片占位符,并与左侧的内容占位符顶端对齐,与上方的标题占位符右对齐。3. 演示文稿共包含7张幻灯片,所埗及的文字内容保存在“文字素材.docx”文档中,具体所对应的幻灯片可参见“完成效果.docx”文档所示样例。其中第1张幻灯片的版式为“标题幻灯片”,第2张幻灯片、第4~7张幻灯片的版式为“世界动物日1”,第3张幻灯片的版式为“世界动物日2”;所有幻灯片中的文字字体保持与母版中的设置一致。4. 将第2张幻灯片中的项目符号列表转换为SmartArt图形,布局为“垂直曲形列表”,图形中的字体为“方正姚体”;为SmartArt图形中包含文字内容的5个形状分别建立超链接,链接到后面对应内容的幻灯片。5. 在第3张幻灯片右侧的图片占位符中插入图片“图片3.jpg”;对左侧的文字内容和右侧的图片添加“淡出”进入动画效果,并设置在放映时左侧文字内容首先自动出现,在该动画播放完毕且延迟1秒钟后,右侧图片再自动出现。6. 将第4张幻灯片中的文字转换为8行2列的表格,适当调整表格的行高、列宽以及表格样式;设置文字字体为“方正姚体”,字体颜色为“白色,背景1”、并应用图片“表格背景.jpg”作为表格的背景。7. 在第7张幻灯片的内容占位符中插入视频“动物相册.wmv”,并使用图片“图片l.jpg”作为视频剪辑的预览图像。8. 在第1张幻灯片中插入“背景音乐.mid”文件作为第1~6张幻灯片的背景音乐(即第6张幻灯片放映结束后背景音乐停止),放映时隐藏图标。9. 为演示文稿中的所有幻灯片应用一种恰当的切换效果,并设置第1~6张幻灯片的自动换片时间为10秒钟,第7张幻灯片的自动换片时间为50秒。10. 为演示文稿插入幻灯片编号,编号从1开始,标题幻灯片中不显示编号。11. 将演示文稿中的所有文本“法兰西斯”替换为“方济各”,并在第1张幻灯片中添加批注,内容为“圣方济各又称圣法兰西斯。”12. 删除“标题幻灯片”、“世界动物日1”和“世界动物日2”之外的其他幻灯片版式。