柠檬试题库
search
首页
计算机
公务员
驾照
关于
share
如图,AD=DB=DC=10厘米,那么,图中阴影部分的面积是多少平方厘米?( )
A.109
B.110
C.107
D.110.25
热度🔥2
参考答案:C
解析:
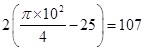
AD=DB=DC=10,等腰直角三角形,则AG=GF。AF=10,根据勾股定理,得AG=
。所以
,则阴影部分面积=
。因此,本题答案为C选项。
复制题目向AI提问
A.109 B.110 C.107 D.110.25 答案:C。 解析:AD=DB=DC=10,等腰直角三角形,则AG=GF。AF=10,根据勾股定理,得AG=
。所以
,则阴影部分面积=
。因此,本题答案为C选项。">
content_copy
content_copy
扫码免费计算机二级刷题
2025年计算机等级考试题库
推荐
在Visual FoxPro中,如果希望跳出SCAN … ENDSCAN循环语句、执行ENDSCAN后面的语句,应使用( )。
设有购买表(顾客号,商品号,购买时间)。现要查询2012年顾客A购买了但顾客B没有购买的商品。有下列查询语句: Ⅰ.SELECT 商品号 FROM 购买表 WHERE YEAR(购买时间)= '2012' AND 顾客号 = 'A' AND 商品号 NOT IN ( SELECT 商品号 FROM 购买表 WHERE YEAR(购买时间)= '2012' AND 顾客号 = 'B') Ⅱ.SELECT 商品号 FROM 购买表 WHERE YEAR(购买时间)= '2012' AND 顾客号 = 'A' EXCEPT SELECT 商品号 FROM 购买表 WHERE YEAR(购买时间)= '2012' AND 顾客号 = 'B' Ⅲ.SELECT 商品号 FROM 购买表 WHERE YEAR(购买时间)= 2012 AND 顾客号 = 'A' INTERSECT SELECT 商品号 FROM 购买表 WHERE YEAR(购买时间)= '2012' AND 顾客号 = 'B' Ⅳ.SELECT 商品号 FROM 购买表 WHERE YEAR(购买时间)= '2012' AND 顾客号 = 'A' UNION SELECT 商品号 FROM 购买表 WHERE YEAR(购买时间)= '2012' AND 顾客号 <> 'B' 上述语句中,能够实现该查询要求的是()
在一个ER图中,包含三个实体集,分别是员工、部门和项目;员工内部存在一对多的领导联系,员工和部门之间存在一对一的管理联系,员工和部门之间存在多对一的属于联系,员工和项目之间存在多对多的参与联系,部门和项目之间存在一对多的负责联系,则将该ER图转化为关系模型后,得到的关系模式个数是()。
根据可信计算机系统评估准则(TESEC),用户能定义访问控制要求的自主保护类型系统属于()。