柠檬试题库
search
首页
计算机
公务员
驾照
关于
share
,
,
,
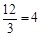
,2,( )。
A.
B.4
C.
D.3
热度🔥5
参考答案:B
解析:
将原数列变形可得其中
、
、
、
、
,分母成公差为-2的等差数列 ,下一项为3;分子成公差为2的等差数列,下一项是12,故空缺项应为
,故本题答案为B。
复制题目向AI提问
,
,
,
,2,( )。 A.
B.4 C.
D.3 答案:B。 解析:将原数列变形可得其中
、
、
、
、
,分母成公差为-2的等差数列 ,下一项为3;分子成公差为2的等差数列,下一项是12,故空缺项应为
,故本题答案为B。">
content_copy
content_copy
扫码免费计算机二级刷题
2025年计算机等级考试题库
推荐
下面不属于软件设计阶段任务的是
窗体上有一个名称为HScroll1的滚动条,程序运行后,当单击滚动条两端的箭头时,立即在窗体上显示滚动框的位置(即刻度值)。下面能够实现上述操作的事件过程是( )。
在采用虚拟存储管理方案的系统中,发生"抖动"现象是由以下哪一个原因引起的?
以下不属于软件生存周期定义阶段任务的是
在虚拟页式存储管理系统中,若采用请求调页方式,当用户需要装入一个新的页面时,其调入的页面来自