柠檬试题库
search
首页
计算机
公务员
驾照
关于
share
,
A.
B.
C.
D.
热度🔥2
参考答案:C
解析:
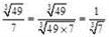
将第一项1化为1/1,容易看出分母数列为1,3,5,(7),简单计算后发现各项分子均为对应分母的平方数再开三次方,故所求项为
。因此,本题答案为C选项。
复制题目向AI提问
,
A.
B.
C.
D.
答案:C。 解析:将第一项1化为1/1,容易看出分母数列为1,3,5,(7),简单计算后发现各项分子均为对应分母的平方数再开三次方,故所求项为
。因此,本题答案为C选项。">
content_copy
content_copy
扫码免费计算机二级刷题
2025年计算机等级考试题库
推荐
计算机操作系统通常具有的五大功能是( )。
为把圆周率的近似值3.14159存放在变量pi中,应该把变量pi定义为( )。
计算机中数据存储容量的基本单位是( )。
PowerPoint演示文稿包含了20张幻灯片,需要放映奇数页幻灯片,最优的操作方法是( )。
某旅游局宣传干事小刘编写了一篇旅游产品推广文章,现需要根据该文章制作一个演示文稿,具体要求如下: 1.在考生文件夹下,利用“PPT素材.docx”文档中的内容生成一个PowerPoint演示文稿,并将生成的演示文稿保存为“PPT.pptx”(“.pptx”为文件扩展名),之后所有的操作均基于此文件,否则不得分。 2.将考生文件夹下的“土楼主题.thmx”主题应用到本演示文稿,并设置演示文稿中的幻灯片大小为16:9。 3.依据幻灯片顺序,将演示文稿分为6节,每节各包含一张幻灯片;节名分别为“标题”、“简介”、“人文历史”、“特点特色”、“代表建筑”和“相关趣闻”。 4.依据幻灯片文本内容占位符中的一级标题,将“人文历史”节中的幻灯片拆分成2张幻灯片,将“特点特色”节中的幻灯片拆分成7张幻灯片,将“代表建筑”节中的幻灯片拆分成6张幻灯片。 5.将“代表建筑”节中的所有幻灯片版式设置为“两栏内容”,分别在该节每张幻灯片右侧的内容占位符中添加对应代表建筑的图片,图片以对应名称存于考生文件夹下。设置这些图片与左侧文本框大小相近,图片样式均为“映像圆角矩形”。 6.将第一张幻灯片的版式设置为标题幻灯片。在该幻灯片副标题的正下方添加一个“基本V型流程”SmartArt图形,图形文本顺序为“简介”、“人文历史”、“特点特色”、“代表建筑”和“相关趣闻”;将每个图形形状分别链接到对应节的第一张幻灯片。 7.除“标题”节外,在其他各节第一张幻灯片的右下角添加返回第一张幻灯片的动作按钮,并确保将来任意调整幻灯片顺序后,依然可以在放映时单击该按钮即可返回到演示文稿首张幻灯片。 8.分别为每节幻灯片设置不同的切换效果。 9.为“代表建筑”节每张幻灯片中的图片设置动画效果,使得该幻灯片换片完成后图片自动进入。 10.设置幻灯片为循环放映方式,如果不单击鼠标,每隔10秒钟自动切换至下一张幻灯片。