柠檬试题库
search
首页
计算机
公务员
驾照
关于
share
A.
B.
C.
D.
热度🔥11
参考答案:A
解析:
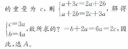
设每个白色方块的重量为a,每个小方格的方块的重量为b,剩下的方块
复制题目向AI提问
A.
B.
C.
D.
答案:A。 解析:设每个白色方块的重量为a,每个小方格的方块的重量为b,剩下的方块
">
content_copy
content_copy
扫码免费计算机二级刷题
2025年计算机等级考试题库
推荐
以下程序调用fun函数求数组中最大值所在元素的下标。 #include void fun( int *s,int n, int *k ) { int i; for( i=0 ,*k=i; i s[*k] ) __________ ; } main() { int a[5]={1,6,2,8,0}, k; fun( a, 5, &k ); printf("%d %d\n", k, a[k] ); } 在横线处应填入的内容是
在采用虚拟存储管理方案的系统中,发生"抖动"现象是由以下哪一个原因引起的?
用户在编写程序时,若要在屏幕上画出一个红色的圆,需要使用
使用扩充的结构化分析方法建立的分析模型的核心是
( )拓扑结构是将网络的各个节点通过中继器连接成一个闭合环路。