柠檬试题库
search
首页
计算机
公务员
驾照
关于
share
数学竞赛团体奖的奖品是10000本数学课外读物。奖品发给前五名代表队所在的学校。名次在前的代表队获奖的本数多,且每一名次的奖品本数都是100的整数倍。如果第一名所得的本数是第二名与第三名所得的本数之和,第二名所得的本数是第四名与第五名所得本数之和。那么,第三名最多可以获得多少本?( )
A.1600
B.1800
C.1700
D.2100
热度🔥12
参考答案:C
解析:
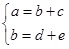
假设一到五名获得的本数分别为:a,b,c,d,e。则:
,
,因为每一名次的奖品本数是100的整数倍,故10000+c必须能被3整除。因此,本题答案为C选项。
复制题目向AI提问
,
,因为每一名次的奖品本数是100的整数倍,故10000+c必须能被3整除。因此,本题答案为C选项。">
content_copy
content_copy
扫码免费计算机二级刷题
2025年计算机等级考试题库
推荐
有以下程序 #include main() { int k, j, s; for( k=2; k<6; k++,k++ ) { s=1; for (j=k; j<6; j++ ) s+=j; } printf("%d\n" , s ); } 程序运行后的输出结果是
一个在线书评、乐评分享网站,建有面向业务的数据库系统和面向分析的数据仓库系统,数据仓库系统需要每天从数据库应用系统的数据库导入新数据。有下列数据表: Ⅰ.书籍表和书籍类别表 Ⅱ.用户表和好友关系表 Ⅲ.书评表和乐评表 Ⅳ.音乐专辑表和音乐分类表 上述表中,适合采用快照方式从数据库应用系统获取数据的是()。
常用数据备份方式包括完全备份、增量备份和差异备份,三种方式在数据回复速度方面由快到慢的顺序为()。
作为现代计算机理论基础的冯·诺依曼原理和思想是( )。
计算机中所有的信息的存储都采用( )。