柠檬试题库
search
首页
计算机
公务员
驾照
关于
share
小张去机票代理处为单位团购机票10张。商务舱定价每张1200元,经济舱定价每张700元,由于买的数量较多,代理商就给予了优惠,商务舱按定价的9折付钱,经济舱按定价的6折付钱,如果他付的钱比按定价少31%,那么小张共买经济舱票的张数是( )。
A.9
B.6
C.7
D.8
热度🔥22
参考答案:D
解析:
【试题来源】
2010年江苏(B卷)《行测》真题
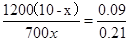
【解析】解法一:设经济舱票数为x,商务舱票数为y,则x+y=10,1200×0.9y+700×0.6x=(1200y+700x)×0.69,解得x=8,所以本题答案为D选项。 解法二:该题还可以用十字交叉法求解,设经济舱票数为x。 1200(10-x) 0.9 0.09 (1-0.31) 700x 0.6 0.21 则:
,解得x=8,所以本题答案为D选项。
复制题目向AI提问
,解得x=8,所以本题答案为D选项。">
content_copy
content_copy
扫码免费计算机二级刷题
2025年计算机等级考试题库
推荐
以下叙述中错误的是
一台交换机具有24个10/100Mbps端口和2个1000Mbps端口,如果所有端口都工作在全双工状态,那么交换机总带宽应为()
汉字有多种不同的编码标准,下面关于不同编码标准之间关系的叙述中,错误的是( )。
在FTP协议中,请求使用被动模式建立数据连接可以使用的命令是
基于"学生-选课-课程"数据库中的三个关系: S(S#,SNAME,SEX,BIRTHYEAR,DEPT),主码为S# C(C#,CNAME,TEACHER),主码为C# SC(S#,C#,GRADE),主码为(S#,C#) 查找"选修了至少5门课程的学生的学号",正确的SQL语句是